Интегральные уравнения позволяют перейти от локального описания теплового процесса к нелокальной форме, в которой учитываются либо вся предыстория воздействия, либо пространственная структура задачи. Для теплопроводности такой переход естественен, поскольку температура в данный момент определяется не только текущими условиями, но и накопленным эффектом предшествующего нагрева. Именно поэтому многие прямые и обратные краевые задачи удобно формулировать через интегральные операторы.
1. Сведение краевых задач теплопроводности к интегральной форме
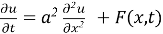
В одномерном случае распределение температуры
где
или в более общей постановке
Эти уравнения относятся к типу Вольтерра. Их основное свойство состоит в причинности: значение решения в момент
В отличие от вольтерровых операторов, фредгольмовы операторы допускают спектральный анализ и естественным образом связаны с собственными функциями и характеристическими числами краевой задачи.
2. Модельные уравнения, возникающие в задачах теплопроводности
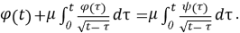
Рассмотрим полубесконечный стержень с нулевой начальной температурой. Пусть на границе действует неизвестный тепловой поток
Его ядро имеет слабую особенность на диагонали, что связано с диффузионной природой теплопроводности. Для решения уравнения используется дробное интегро-дифференцирование:
Это соотношение показывает, что восстановление потока по температуре требует дифференцирования измеряемых данных и потому чувствительно к ошибкам наблюдения.
При теплообмене с внешней средой по закону Ньютона, когда
В этом случае неизвестная функция входит и вне интеграла, и под знаком интеграла. Для таких уравнений на каждом конечном промежутке времени существует единственное решение, поэтому нетривиальная однородная часть не возникает.
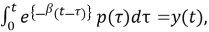
В задачах восстановления интенсивности внутреннего источника появляется уравнение Вольтерра с экспоненциальным ядром
которое решается обычным дифференцированием:
3. Специальные уравнения Фредгольма и резонансные режимы
Классические уравнения Вольтерра не дают нетривиальных решений однородной задачи в регулярном случае. Поэтому исследование ненулевой однородной части естественно переносится на пространственные краевые задачи. Для задачи Дирихле
после обращения оператора с помощью функции Грина получается интегральное уравнение Фредгольма второго рода
Если параметр
однородное уравнение имеет ненулевые решения
Сходная картина наблюдается и в смешанных задачах, а для задачи Неймана нетривиальная однородная часть возникает уже при нулевом собственном значении, поскольку постоянные функции принадлежат ядру оператора. Поэтому специальные уравнения Фредгольма естественно дополняют вольтерровы постановки и позволяют исследовать ту часть темы, которая связана с резонансом и существованием ненулевых решений однородного интегрального уравнения.
В статье рассмотрены основные типы интегральных уравнений, возникающих при решении краевых задач теплопроводности. Показано, что нестационарные задачи приводят к уравнениям Вольтерра, среди которых особое место занимают уравнения Абеля первого и второго рода, а также уравнения со сглаживающими экспоненциальными ядрами. Одновременно показано, что исследование ненулевых решений однородного интегрального уравнения естественно переносится на специальные уравнения Фредгольма, возникающие из пространственных краевых задач. Полученные выводы могут быть использованы при дальнейшей разработке магистерской диссертации по теории особых интегральных уравнений математической физики.
Литература:
- Вольтерра В. Теория функционалов, интегральных и интегро-дифференциальных уравнений. — М.: Наука, 1982.
- Трикоми Ф. Интегральные уравнения. — М.: Иностранная литература, 1960.
- Канвал Р. Линейные интегральные уравнения: теория и техника. — М.: Мир, 1978.
- Полянин А. Д., Манжиров А. В. Справочник по интегральным уравнениям. — М.: Физматлит, 2003.
- Тихонов А. Н., Самарский А. А. Уравнения математической физики. — М.: Наука, 1999.

