Рассмотрена краевая задача для неоднородного уравнения теплопроводности с нагрузкой в виде дробного интеграла Римана-Лиувилля порядка
Ключевые слова: дробное исчисление, краевые задачи .
I. Необходимые сведения из теории дробного исчисления и специальных функций
Определение 1. Пусть
где
Замечание 1. Достаточным условием существования дробного интеграла является условие
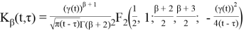
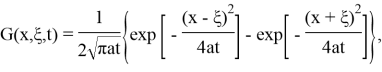
Замечание 2. Известно, что [2] для первой краевой задачи в области
дифференциальное уравнение вида:
имеет решение:
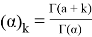
где
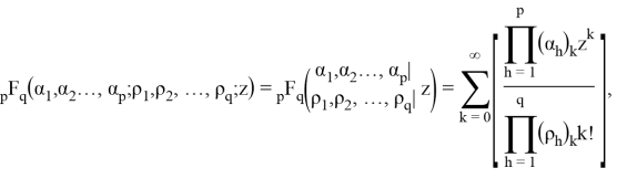
Определение 2. Обобщённым гипергеометрическим рядом [3] называется ряд:
где
Определение 3. Функция в виде ряда
при
II. Постановка задачи.
В области
Далее подробнее остановимся на самом понятии существования дробной производной.Пусть для простоты
Из сказанного ясно, что предположения «дробная производная
Определение 2.4. Пусть Re>0
. Будем говорит, что функцияf(x)Ꞓ
Другими словами, этим определением введено понятие, используещее только первое из двух условий (2.55), (2.56) описывающих класс
Замечание 2.2. Если
Мы сочли необходимым подробно остановится на приведенных соображениях и, в частности, на определении 2.4. поскольку смешение двух понятий (существование дробной производной и представимость функции дробным интегралом), а также нечеткое толкование первого из этих понятий приводило к ошибкам в работах многих авторов.
Следующая теорема, основная в этом пункте, отражает вопрос, вынесенный в заголовок.
Теорема 2.4. Пусть Reα>0. Тогда равенство
выполнятется для любой суммируемой функции φ(x), a равенство
— для фунции
f(x)Ꞓ
Если вместо (2
.59)
предположить, что функция f(x)Ꞓ
Где n=
Доказательство. Имеем
Меняя порядок интегрирования, после вычисления внутреннего интеграла получаем
и тогда из (2.62) ввиду (2.16) следует (2.57).
Далее (2.58) при условии (2.59) вытекает незамедлительно из (2.57) (отметим также, что (2.58) фактически было получено при доказательстве достаточной части теорема 2.3, только на этот раз внеинтегральные слагаемые не будут исчезать и дадут дополнительную сумму в (2.60).
Следствие 1. Справедлив следующий аналог формулы Тейлора:
f(x)=
где
Действительно, формула (2.63) есть очевидная перефразировка свойства (2.60).
Отметим еще, что некоторые обобщение формулы (2.60) приведено в §4, п.2,2.8,
Следствие 2. Справедлива формула
называемая как и (2.20), формулой дробного интегрирования по частям.
Предполагается, что f(x)Ꞓ
Действительно, (2.64) следует из (2.20), если положить
Простое достаточное условие на функции
f(x), g(x)
для выполнимости (2.64) состоит в том, чтобы
f(x),g(x)ꞒC
(2)
III Сведение задачи (11)-(12) к интегральному уравнению: В силу замечания 2 задача (1) — (2) сводится к интегральному уравнению
где
Здесь
Lx≡
где q(t) и h(t)-непрерывние на
Пусть ищется решение x(t) уравнения (6), удовлетворяющее (для простоты) краевым условиям
X(a)=x(b)=0. (7)
Определение. Функцией Грина G(t,s) краевой задачи (6)-(7) называется функция двух переменных, определенная в квадрате a≤t,s
в точке t=s и имея в виду правило диффкркнцирования единичной функции Ꝋ(t-s) заключаем, что
Где δ(t-s)-δ-функция,
Поэтому условия 1) и 4) можно заменить условием
Таким образом, функция Грина имеет простой физический смысл. Это решение задачи для единичного точечного источника:
h(t)=δ(t-s).
Теперь можно сразу написать решение краевой задачи (6)-(7) с помощью функции Грина. Именно, решение краевой задачи (6)-(7) дается формулой
x(t)=
В самом деле, в силу условия 2) на функцию Грина функция x(t), определяемая формулой (10), удовлетворяет граничным условием (2).
Далее,
Так что функция x(t) удовлетворяет дифференциальному уравнению(1).
III. Исследование предельных случаев
Показано, что для краевой задачи (1) — (2) имеет место непрерывность по порядку дробной производной в нагруженном слагаемом уравнения задачи.
IV Оценка ядра интегрального уравнения
Если
Поскольку:
Литература:
- Псху, А. (2005). Уравнения в частных производных дробного порядка. Москва: Наука.
- Полянин, А. (2001). In Справочник по линейным уравнениям математической физики (p. 57). Москва: Физико-математическая литература.
- Ю.Люк. (1975). In Специальные математические функции и их аппроксимации (p. 163). New York: Academic press.

