Introduction
In the process of oil pipelines operation, contamination of its internal cavity occurs. This process is especially intensive in gathering reservoirs of oilfields transporting untreated well products, as well as in pipelines transporting highly paraffinic oil [3]. The composition of sediments depends on the composition of pumped oil, oil pipeline operation period, temperature and other factors, usually, the composition of sediments includes asphalt-resinous and paraffin substances (ARPD), oils, scale, iron sulphides and mechanical impurities (clay, sand, chalk, corrosion products, etc.) [4]. In addition, water can accumulate in low-lying sections of oil pipelines, e.g. in underwater crossings, which provides a medium for bacterial growth.
- Technologies for cleaning of oil pipelines complicated by ARPD deposits.
Maintaining the operational integrity of oil pipelines necessitates regular cleaning to mitigate the accumulation of paraffin, resinous compounds, and sand, which obstruct normal product flow. This practice is especially critical for pipelines transporting high-wax crude oil grades [8]. However, routine field pipeline maintenance is sometimes neglected for extended periods, allowing significant sediment accumulation.
The main methods for dealing with ARPDs are categorized into four primary groups: chemical, thermal, mechanical, and physical/innovative methods.
Chemical methods are widely considered the most effective for both removing existing ARPDs and preventing their formation. They work by dissolving or dispersing the organic molecules that make up the deposits.
Thermal methods use heat to melt the paraffin wax component, which lowers the viscosity and allows the deposits to be transported by the oil flow.
Mechanical methods involve physically scraping the deposits off the internal pipe surface. They are effective for removing heavily accumulated, solid deposits but can have limitations [5]. Batching pigs are designed to clean the internal cavity and walls of the pipeline from deposits, contaminants and foreign objects.
Fig. 1 Mechanical method of cleaning [8]
- Technology of oil pipelines cleaning with sludge removal into temporary pits
In some situations, it is not possible to accept the entire volume of pigging displaced sediment in the final vessels, even if the progressive cleaning technology. In such a case, sediment can be taken into excavation pits temporarily constructed along the pipeline [10].
When the slurry approaches the tie-in point, the shut-off valve is opened and the sediment is discharged into the pit until it is filled or until clean oil appears in the discharge line if the slurry has accumulated less than the pit volume. This technology allows cleaning the oil pipeline even with large amounts of accumulated ARPD. Here is the method of flow rate for better understanding
Fig. 2. Flow rate method of removal
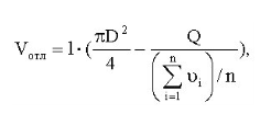
The volume of sediments in the pipeline is determined by the formula:
where V отл — volume of sediments in the pipeline, m 3 ;
l — length of the pipeline, m;
D — internal diameter of the clean pipeline, m;
n — number of points for measuring the velocity of liquid flow through the pipeline.
However, there are disadvantages to this method, which include the inability to control the actual length of slurry that is generated upstream of the pig. Therefore, opening the shut-off valves in the withdrawal lines may be premature — before the slurry approaches, and then pure oil without sediment flows into the tank.
To eliminate these disadvantages, an improvement of the method is proposed.
Improvement of the method.
The essence of the innovation is as follows:
Before launching the cleaning pig, another special pig with a location signaling device is put into the pipeline. Let's call it a control piston. Its distinctive feature is that it has zero buoyancy , no rigid cleaning elements, its dimensions are smaller than the pipeline diameter. This results in the control pig moving not due to pressure drop on sealing discs or cups as usual, but due to oil flow, remaining stationary in its environment.
The condition for zero (neutral) buoyancy is defined that the buoyant force on an object submerged in a fluid is equal to the weight of the fluid displaced by that object.
The forces acting on the control pig are:
— Weight of the object (
— Buoyant force (
Zero Buoyancy Condition:
Fig. 3. Improvement of the pigging
Estimation of the total amount of sediments
The number of excavations required is determined, among other things, by the estimated volume of sediments in the study area. A method for determining this volume is proposed below.
Method by pressure drop variation
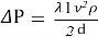
It is possible to estimate volume from indirect parameters. For example, the number of sediments in a pipeline section can be estimated by the change in the pressure loss (pressure difference between the start and end points of the section) from the beginning of the pipeline operation to the current moment. For this purpose, we use the Darcy-Weisbach equation:
where ΔP — pressure loss;
λ — coefficient of hydraulic resistance;
l — length of the considered section;
ν — flow velocity;
d — internal diameter of the pipeline;
ρ — density of liquid.
Of course, this formula does not take into account the many factors affecting the nature and rate of deposition, but it can be used in practice to estimate change.
Conclusion
Pipeline cleaning technologies are evolving toward advanced, proactive systems. By integrating modern tools such as smart pigging, robotics, and progressive cleaning strategies, industries can improve efficiency, reduce costs, enhance safety, and minimize environmental impact.
References:
- Ibragimov, N. G. Theory and practice of methods of dealing with organic sediments at the late stage of oil field development. Oil Ind. 2010 , 1 , 238.
- Adeyanju, A. O., Oyekunle, L. O. (2013). Experimental study of wax deposition in a single-phase subcooled oil pipeline. SPE-167515-MS.
- Metiyev, K. I., Alsafarova, M. E., Emel, N. I. (2023). Methods for combating asphalt resin and paraffin deposits in the oil industry. Scientific Petroleum, 2, 35–40.
- Gurbanov, А. Q., Hajikerimova, L. Q., Akperova, A. F. (2023). New inhibitor against asphaltene-resin-paraffin deposits and salts. Scientific Petroleum, 2, 41–47.
- Al-Hatali, S., Zaid, L., Al-Bimani, S., Al-Wahaibi, Y. «Innovative methodology for cleaning pipes: Key to environmental protection». ResearchGate, 2015, (paper presented at an SPE conference).
- Korolev, M.I.; Rogachev, M.K.; Tananykhin, D. S. Regulation of filtration characteristics of highly watered terrigenous formations using complex chemical compositions based on surfactants. J. Appl. Eng. Sci. 2020 , 18 , 147–156.
- Lightford, S.; Pitoni, E.; Armesi, F.; Mauri, L. Development and field use of a novel solvent/water emulsion for the removal of asphaltene deposits in fractured carbonate formations. SPE Prod. Oper. 2008 , 21 , 301–311.
- Sun, M.; Naderi, K.; Firoozabadi, A. Effect of crystal modifiers and dispersants on paraffin-wax particles in petroleum fluids. SPE J. 2019 , 24 , 32–43.
- Ma, T., et al. «Oil recovery from polymer-containing oil sludge in oilfield Research, 2021, 28, pp. 11843–11854.
- Nikulin, V.Y.; Mikhailov, A.G.; Ilyushin, D.V.; Zeigman, Y. V. Experience in application of technologies for wax deposition control in deep wells in oil production at the lower devonian carbonate rock complex. Neftyanoe Khozyaystvo—Oil Ind. 2021, 3, 101–105.

