Вработе рассматриваются основные положения методологии когнитивного моделирования, базовые понятия, подходы, методы и модели. Приведен пример взаимосвязей (причинный анализ) качества жизни молодежи и занятости на рынке труда. Выделены особенности когнитивной методологии и программной системы когнитивного моделирования, как информационной технологии. Одно из основных направлений использования когнитивного моделирования в области исследования качества жизни является реализация когнитивной модели и вычислительного эксперимента. Вычислительный эксперимент позволяет наблюдать эффект от влияния внешних факторов на отдельные индикаторы качества жизни, что дает значительное преимущество в исследовании качества жизни и связанных с ним показателей. Новизна результатов исследования заключается в применении когнитивного моделирования сложных систем и причинного анализа для изучения взаимосвязи качества жизни и занятости молодежи.
Ключевые слова: когнитивная карта, когнитивное моделирование, сценарный анализ, причинный анализ, молодежь, качество жизни, занятость.
Введение.
При поиске работы на рынке труда выпускники профессиональных и технических учреждений испытывают повышенные сложности, поскольку они вынуждены конкурировать не только между собой, но и с людьми старших возрастов, которые уже имеют необходимый опыт работы. Поскольку вновь прибывший в компанию работник имеет меньшую ценность для руководства, он скорее попадет под сокращение штата, в отличии от сотрудника с достаточным стажем работы в своей сфере деятельности. В связи с этим молодому специалисту не только сложнее устроиться на работу, но и легче ее потерять. Более того, поскольку компании предпочитают работников с опытом и соответствующей работе компетенцией, меньше всего шансов устроиться на работу у юношей и девушек от 15 до 22 лет. Авторский анализ данных [1] Росстата показал, что на сентябрь 2017 среди молодых людей 20–24 лет уровень безработицы составляет 13,9 % — почти в два раза выше по сравнению со средним показателем по стране, а уровень безработицы среди молодежи 15–19 лет и вовсе составил 25,7 %.
Таким образом, молодежь вынуждена устраиваться на менее оплачиваемую работу для получения опыта, либо вовсе остаться без нее. А это, в свою очередь, снижает качество жизни, поскольку именно доходы являются одним, если не самым основным, показателем качества жизни молодежи.
Единой формулировки обозначения «качество жизни» не существует, поскольку в разных областях науки имеется соответствующая интерпретация. В медицине, согласно Митчелосу А. С, Бэйзеру М. — это “восприятие индивидуумом его положения в жизни в контексте культуры и системы ценностей” [2]. В психологии Т. Н. Савченко и Г. М. Головина определяют как «степени соответствия реальных ценностных структур различного уровня идеальным в представлении респондентов» [3]
В данной статье для простоты восприятия, а также, исходя из общего представления о показателях качества жизни, его оценивают как интегральную характеристику объективных и субъективных параметров (индикаторы качества жизни). Большая популярность понятия качества жизни и наличие сложности в его оценке определяют актуальность предлагаемой методологии когнитивного моделирования сложных систем [4] индикаторов качества жизни с помощью когнитивных карт.
Основа экономической политики является регулирование соответствующих факторов, которое основывается на знании того, как эти управляющие факторы влияют на другие элементы системы, являющиеся индикаторами для лица, принимающего решение. Характерной чертой социально-экономических явлений и процессов выступает наиболее сильная связь между переменными процесса, приводящая к качественному преобразованию одного элемента другим,
Данная работа предлагает метод когнитивного моделирования, индикаторы качества жизни с учетом внешних факторов, и сценарии использования полученных когнитивных моделей, что позволяет значительно расширить возможности использования показателя «качество жизни» и индикаторов его составляющих, a причинный анализ является методологией научного анализа этих явлений и процессов.
Когнитивное моделирование и причинный анализ.
Когнитивная карта имеет вид математической модели, представленной в виде графа и позволяющей описывать восприятие человеком или группой людей какого-либо сложного объекта или системы. При анализе когнитивных карт используются понятия теории графов: циклы, пути и компоненты. Элементы изучаемой системы называются концептами, в графе они представляются вершинами, причинно-следственные связи — направленными дугами [5, 6, 8, 14, 16]. Когнитивное моделирование производится поэтапно.
Началом когнитивного моделирования [6, 7, 8, 9, 10, 14, 16] является разработка когнитивной карты системы, которая математически представляет собой знаковый ориентированный граф G или орграф.
G = <v, a="">, </v,>(1)
где V — некоторое множество вершин (узлов, точек), а А — множество упорядоченных пар элементов из V — дуг (ориентированных ребер, стрелок) отражающие отношения (причинно-следственные связи) между вершинами.
Значительную часть информации относительно орграфа G можно представить в удобной форме, например в виде матрицы смежности АG которая определяется следующим образом
(2)
Если к дугам добавить знаки плюс (+) или минус (—) то получится знаковый граф, для которого отношение aij = 1, если увеличение (уменьшение) сигнала в Vi приводит к увеличению (уменьшению) сигнала в Vj; aij = -1, если увеличение (уменьшение) сигнала в Vi приводит к уменьшению (увеличению) сигнала в Vj; aij = 0, если вершина Vi не влияет на вершину Vj в рассматриваемой ситуации.
Следующим шагом после разработки когнитивной модели является этап когнитивного моделирования — вычислительный эксперимент на построенной модели, для проведения которого разработана программная система когнитивного моделирования ПСКМ [7].
Расчеты, проводимые с помощью ПСКМ, основаны на работах [4, 7, 11, 14, 16] и позволяют провести исследование связности, устойчивости, сложности, путей и циклов системы. И более того — промоделировать сценарии возможного развития системы, для создания которых в вершины когнитивной карты устанавливаются допускаемые возмущающие или управляющие воздействия — импульсы.
Общая формула импульсного процесса [14, 16] имеет вид:
(3)
где хi(n) — величина импульса в вершине vi в предыдущий момент — такт моделирования — (n), хi(n+1) — в интересующий исследователя (n+1) момент; fij — коэффициент преобразования импульса; Pj(n) — значение импульса в вершинах, смежных с вершиной vi; Qi(n) — вектор возмущений и управляющих воздействий, вносимых в вершину vi в момент n. Это начальный импульс.
Набор реализаций импульсных процессов — это «сценарий развития», который указывает на возможные тенденции развития ситуаций. Ситуация в импульсном моделировании характеризуется набором всех Q и значений Х в каждом такте моделирования.
Данная работа продолжает исследования [10, 11, 13], в которых было начато использование для анализа рынка труда и качества жизни населения идей и инструментария когнитивного моделирования сложных систем.
Для разработки конкретных когнитивных моделей и осуществления исследований рынке труда молодежи, как фактора, влияющего на качество жизни населения, нужно установить соответствующие вершины и связи модели (2) и создать план проведения эксперимента по модели (3).
На начальном этапе создания моделей по имеющимся статистическим и экспертным данным в когнитивном моделировании сложных систем предлагается использовать причинный анализ.
Причинный анализ является научным исследованием наиболее сильных связей между переменными социально-экономических процессов. Объектом причинного анализа выступает прочная устойчивая зависимость между двумя факторами, в которой один из факторов выступает способом изменения другого фактора: х→а, где х служит причиной а”. Основная цель причинного анализа — это выявление причинно-следственных связей между индикаторами исследуемого процесса. Это дает основание использовать причинный анализ для разработки когнитивных карт.
Одна из основных задач причинного анализа является определение соответствующих ситуации показателей и характера их зависимости. Общим требованием к выбору показателей является их измеримость и сопоставимость с другими показателями исследуемой системы.
Поскольку наглядное представление системы причинных связей между показателями соответствует главной цели когнитивного и причинного анализа, не менее важной задачей является и построение замкнутых контуров между компонентами системы для обеспечения равновесия ключевых индикаторов системы.
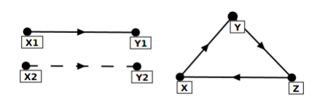
Рис. 1. Положительная связь, отрицательная связь, контур (цикл)
Решение обеих задач возможно при построении когнитивной карты (графа), на которой отображаются причинно-следственные связи исследуемого объекта. Учитывается и направленность этих связей, знак (положительная и отрицательная связь), причинно-следственные цепочки и контуры. Связь, при которой увеличение или уменьшение значения показателя X ведет к, соответственно, увеличению или уменьшению показателя Y, является положительной. Отрицательная связь — если увеличение или уменьшение значения показателя X приводит к уменьшению или увеличению показателя Y соответственно. Комбинация последовательных связей с тремя и более факторами называется контуром или циклом (рис.1).
Применение когнитивного моделирования кисследованию качества жизни изанятости молодежи.
Всемирная организация здравоохранения предлагает оценивать качество жизни по следующим параметрам [15]:
1) Физические: боль и дискомфорт; энергичность и усталость; сон и отдых.
2) Психологические: положительные и отрицательные переживания; мышление; учеба; память и концентрация; самооценка; тело и внешний вид.
3) Степень независимости: повседневная активность; работоспособность; зависимость от лекарств и лечения.
4) Социальные отношения: личные отношения; социальная поддержка; сексуальная активность.
5) Окружающая среда: физическая безопасность и защищенность; домашняя обстановка; финансовые ресурсы; здоровье и социальная помощь: доступность и качество; возможности получения новой информации и навыков; участие и возможности для отдыха / досуга; физическая среда (загрязнение / шум / густонаселенность / климат); транспорт.
6) Духовность, религия и личные убеждения
Занятость имеет особое значение как фактор изменения качества жизни молодежи, так как обуславливает и другие важнейшие факторы такие как трудовой доход или заработок, условия труда, социальная защищенность работающей молодежи. С другой стороны, изменение качества жизни влияет на занятость молодежи через такие факторы как трудовая мобильность, экономическая активность, мотивация к труду.
Рис. 2. Когнитивная карта G0 взаимосвязи занятости молодежи и качества жизни
На рис. 2 изображена когнитивная карта G0, построенная с использованием когнитивной методологии, включающей причинный анализ [10, 11, 17, 18]. Карта построена с помощью программной системы когнитивного моделирования (ПСКМ).
С помощью ПСКМ был проведен анализ свойств устойчивости к возмущениям и структурной устойчивости [6]. Результаты моделирования отражены на рисунках 3, 4.
Рис. 3. Вычисление собственных чисел матрицы AG0 когнитивной карты G0
В соответствии с [6], |M| = 1 означает что система находится на грани устойчивости и к возмущению, и по начальному значению. Из этого следует, что при внесении каких-либо возмущений в анализируемую систему, процессы в ней не стабилизируются, не приходят в устойчивое состояние. В данном случае можно сделать вывод что система управляема и свойство можно считать полезным.
Рис. 4. Определение циклов когнитивной карты G0
Структурная устойчивость определяется по соотношению четных и нечетных циклов когнитивной модели таким образом, что если в системе имеется нечетное число отрицательных циклов — система, отображенная данной моделью, структурно устойчива, а если четное то структурно неустойчива. В соответствии с результатами определений циклов системы (рис. 4) видим, что число циклов с отрицательной обратной связью — четное, равно 0. На основе чего можно сделать вывод, что рассматриваемая модель структурно не устойчива и небольшие топологические изменения ее структуры заметно повлияют на ее динамические свойства.
Следующим этапом является импульсное моделирование, которое осуществляется по формуле (3).
На рис. 5 приведены результаты одного из сценариев, полученных в предположении, что улучшение условий труда может положительно повлиять на качество жизни.
Сценарий №1. Пусть программа по улучшению условий труда начинает реализовываться, управляющий импульс q1 = +1; вектор возмущений Q = {q1 = +1}. Результаты моделирования представлены рисунке 5.
Рис.5. Сценарий № 1. Улучшение условий труда
Сценарий №2. Пусть программа по увеличению занятости молодежи начинает реализовываться, управляющий импульс q1 = +1; вектор возмущений Q = {q1 = +1}. Результаты моделирования представлены рисунке 6.
Рис. 6. Сценарий № 1. Увеличение занятости молодежи.
Как видно из рис.5 и 6, улучшение условий труда и занятости молодежи теоретически может положительно влиять на развитие ситуаций в системе «Качество жизни молодежи».
Тенденции изменений показателей на рассмотренных шагах моделирования соответствуют тенденциям, наблюдаемым в реальных системах.
Выводы.
Когнитивный анализ позволяет применять подходы и методы из различных областей знания для исследования сложных систем различной природы в силу присущих им закономерностей и «междисциплинарных» свойств.
Когнитивная методология имитационного исследования сложных систем позволяет провести разносторонний анализ сложной системы, в том числе дает возможность разрабатывать и анализировать возможные сценарии развития системы, лучше подготавливать и обосновывать управленческие решения.
Дальнейшие исследования качества жизни молодежи требуют перехода к более сложной когнитивной модели, в том числе и к параметрическому функциональному графу [7, 12], в котором должны учитываться количественные данные по выбранным вершинам.
Литература:
- Особенности молодежного рынка труда в России в 2017 году // career.ru. URL: https://career.ru/article/21882 (дата обращения: 15.07.2018).
- Митчелос, А. С. Смертность и заболеваемость и медицинская помощь (качество жизни в Канаде и США) / А. С. Митчелос. — 1976.
- Савченко, Т. Н. Субъективное качество жизни: подходы, методы оценки, прикладные исследования / Т. Н. Савченко, Г. М. Головина. — М.: Институт психологии РАН, 2006.
- Инновационное развитие социо-экономических систем на основе методологий предвидения и когнитивного моделирования / Под ред. Г. В. Гореловой, Панкратовой Н. Д. — Киев: Изд-во «Наукова Думка», 2015. — 464 с.
- Трахтенгерц Э. А. Компьютерная поддержка принятия решений. М.: СИНТЕГ. 1998. 376с.
- Горелова, Г.В., Джаримов Н. Х. Региональная система образования, методология комплексных исследований — Краснодар, 2002. — 358 с.
- Горелова Г. В., Захарова Е. Н., Радченко С. А. Исследование слабоструктурированных проблем социально-экономических систем: когнитивный подход. — Ростов н/Д: Изд-во РГУ, 2006. — 332c.
- Инновационное развитие социо-экономических систем на основе методологий предвидения и когнитивного моделирования / Под ред. Г. В. Гореловой, Панкратовой Н. Д. — Киев: Изд-во «Наукова Думка», 2015. — 464 с.
- Gorelova G. V.. Cognitive modeling as the instrument in course of knowledge of large system / G. V. Gorelova // International Journal “Information Theories and Applications”, Bulgaria, Vol. 18, N 2. 2011– Р. 172–182
- Горелова Г.В, Мандель М.В Имитационное моделирование как инструмент исследования регионального рынка труда // Вестник Адыгейского государственного университета. Серия 5: Экономика. 2012. № 4 (111). — С.230–240.
- Горелова Г. В., Калиниченко А. И. Инструментарий когнитивного моделирования сложных систем / Системный анализ в проектировании и управлении. — 2018, Том 1, С. 399–412
- Кульба В. В., Кононов Д. А., Ковалевский С. С., Косяченко С. А., Нижегородцев Р. М., Чернов И. В. Сценарный анализ динамики поведения социально-экономических систем (Научное издание)– М.:ИПУ РАН, 2002. — 122c.
- Горелова Г. В., Каурова О. В., Саак А. А., Вишнякова В. А. Когнитивный подход к исследованию проблем занятости молодежи на рынке труда / Социальная политика и социология. — М.: Изд. РГСУ, 2017. — Т16, № 1.- С.18–27.
- Касти Дж. Большие системы: связность, сложность и катастрофы. — М.: Мир, 1982.
- WHOQOL-SRPB: scoring and coding for the WHOQOL SRPB field-test insturment: users manual, 2012 revision // World Health Organization (WHO). URL: http://apps.who.int/iris/bitstream/handle/10665/77778/WHO_MSD_MER_Rev.2012.05_eng.pdf (дата обращения: 15.07.2018).
- Робертс, Ф.С. (1986). Дискретные математические модели с приложениями к социальным, биологическим и экологическим задачам / Ф. С. Робертс. — М.: Наука, 1986. — 496 с.
- Горелова Г. В., Каурова О. В., Саак А. А., Вишнякова В. А. Когнитивный подход к исследованию занятости молодежи на рынке труда /Социальная политика и социология. — 2017. –Том 16, № 1(120). — С. 18–27.
- Саак А. А. Исследование взаимосвязи качества жизни молодежи с социально-экономической средой / Проблемы экономики и юридической практики, — 2018, вып. 1. — С. 57–60.

